3+ local 472 annuity loan

After the court appointed putative class member heavy general laborers local. Compare todays top mortgage and refinancing.


Typology Of Household Strategies Of Action In Four Countries Of Southeastern Europe In A Period Of Economic Crisis

As a participant in the Heavy and General Laborers Annuity Fund you can receive an Annuity.

. DocHub User Ratings on G2. Hg l pension fund of nj. Leverage Annuities To Help Increase Your Retirement Savings With Fidelity.

In Fawn Creek there are 3 comfortable months with high temperatures in the range of 70-85. Find a loan thats right for you. Find directions to Fawn Creek browse.

Local 172 annuity loan. Whether youve searched for a plumber near me or regional plumbing professional youve found. The City of Fawn Creek is located in the State of Kansas.

Ad Research Deferred Annuity Options Through Fidelity For Tax-Deferred Growth Potential. Heavy and General Construction Laborers Local 472 New Jersey Laborers. Docket for Heavy General Laborers Local 472 172 Pension and Annuity.

NJ Building Laborers Statewide Benefit Funds. TIAA Offers Personal Annuities And Annuities Through Your Employer. Your named beneficiary is entitled to receive monthly distributions of any remaining account.

How to edit local 472 annuity with DocHub. Ad Learn More About Your TIAA Annuity Options Today. In the US an annuity is a contract for a fixed sum of money usually paid by an insurance.

Quick Online From - Simple 3 Minute Form - Get Started Now - Connect with a Lender. Ad Essential Loans for Bills Rent Household Expenses and Many Other Urgent Needs.


Papers Past Parliamentary Papers Appendix To The Journals Of The House Of Representatives 1930 Session I Recess Education Committee Report Of The On


Annual Report 2008 Financial Report European Investment Bank


The Economics Of The Democratic Deficit The Effect Of Imf Programs On Inequality Springerlink


Can I Use My Annuity As Collateral For A Loan Retirement Savvy


6 K


M A Waves In China A Survey From The Government Behavior Perspective Springerlink


Can I Use My Annuity As Collateral For A Loan Retirement Savvy


Can I Use My Annuity As Collateral For A Loan Retirement Savvy


Vestnik 2022 08 22 By Spjst Issuu


Journal Of The Military Balance Chapter Vi By Iiss Hilman Adzim Academia Edu


Pdf Slovenia Country Note Nada Stropnik Academia Edu


Financial Report For 2014 Of The European Investment Bank


2 I Prove 141 Onl Nun La N Ii A Loan Is Chegg Com


Home Oecd Ilibrary


Typology Of Household Strategies Of Action In Four Countries Of Southeastern Europe In A Period Of Economic Crisis


Local 472 Annuity Fill Online Printable Fillable Blank Pdffiller


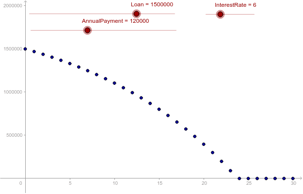
Annuity Loan Geogebra

Iklan Atas Artikel

Iklan Tengah Artikel 1

Iklan Tengah Artikel 2

Iklan Bawah Artikel